咦,这个螺内酯不是治疗高血压的嘛?我的诊断是痤疮呀,医生是不是开错了?医生给痤疮患者开螺内酯是开错了,还是另有“隐情”?
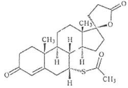
首先我们来了解一下这个传统降压药物——螺内酯(结构式如下图)。螺内酯为肾上腺盐皮质激素醛固酮的竞争性拮抗剂,醛固酮具有保钠排钾、促进水重吸收的作用,两者的竞争关系使得醛固酮的保钠排钾作用大大减弱,因此临床上螺内酯一般用于治疗伴有醛固酮升高的顽固性水肿、高血压等。

原来螺内酯除了能够对抗醛固酮激素,还可以抑制雄激素分泌,拮抗雄激素受体,这是螺内酯治疗痤疮的重要机制。螺内酯通过阻断细胞色素P450依赖的羟化酶,抑制性腺和肾上腺产生雄激素,降低血清睾酮和二氢睾酮的水平;同时还是局部二氢睾酮受体竞争抑制剂,可直接作用于皮脂腺,与二氢睾酮竞争雄激素受体,使皮脂分泌减少,减轻痤疮症状,故可用螺内酯治疗痤疮[1];同理,临床上使用雌激素、孕激素及胰岛素增敏剂等治疗痤疮患者,也是这个原理。由于其可以拮抗体内的雄激素受体,因此对女性多毛症、多囊卵巢综合征的多毛症都有治疗效果。可是说明书上并没有痤疮的适应症,这么用药有依据吗?螺内酯药品说明书中所标明的适应症范围是水肿性疾病、高血压、原发性醛固酮增多症及低血钾的预防,并未涉及痤疮治疗。但国内有项研究中发现螺内酯治疗女性迟发性痤疮有效率可达82.93%[2],国外一项针对螺内酯治疗女性痤疮患者的回顾性研究中,有85%的痤疮患者明显得到改善[3]。《中国痤疮治疗指南》(2019修订版)中推荐螺内酯作为中重度女性痤疮患者的治疗选择,大量的临床经验证实,超说明书使用螺内酯对痤疮有明确的治疗作用。螺内酯的超说明书适应症还包括女性多毛症、多囊卵巢综合征的多毛症等,具体如下图。

既然螺内酯可以治疗痤疮,是否所有痤疮患者都适用螺内酯治疗?答案当然是否定的!螺内酯因为拮抗雄激素,长期服用有可能造成男性乳房发育症,一般不用于男性痤疮患者。
男性患者不适用,那么女性痤疮患者都可以使用螺内酯吗?◆ 伴高雄激素表现的痤疮,如皮损分布于面中部下 1/3,可伴月经不规律、肥胖、多毛、显著皮脂溢出、雄激素性脱发等;
◆ 女性青春期后痤疮;
◆ 经前期明显加重的痤疮;
◆ 常规治疗如系统抗生素甚至系统用维 A 酸治疗反应较差,或停药后迅速复发者。
使用方法:
① 单一用药:口服螺内酯,60~200mg/d,疗程为3~6个月。在《中国痤疮治疗指南》(2019修订版)中推荐作为女性中度、中重度痤疮的治疗选择。② 联合口服药:螺内酯联合其他口服用药,比如联合口服抗生素、异维A酸等。③ 联合外用药:螺内酯联合外用药,比如过氧苯甲酰、维A酸类。
主要包括高钾血症、月经不调(发生几率与剂量呈正相关)、胃肠道反应(包括恶心、呕吐、厌食和腹泻)、嗜睡、疲劳、头晕、头痛。注意事项:
② 从最小有效剂量开始使用,以减少电解质紊乱等副作用的发生。如每日服药一次,应于早晨服药,以免夜间排尿次数增多;该药有致畸作用,FDA分级为C级,孕妇禁用[4]。最后提醒大家,医学科普不代表治疗建议,如有相关问题请及时就医。
